...

/

Representing graphs

Representing graphs

There are several ways to represent graphs, each with its advantages and disadvantages. Some situations, or algorithms that we want to run with graphs as input, call for one representation, and others call for a different representation. Here, we'll see three ways to represent graphs.

We'll look at three criteria. One is how much memory, or space, we need in each representation. We'll use asymptotic notation for that. Yes, we can use asymptotic notation for purposes other than expressing running times! It's really a way to characterize functions, and a function can describe a running time, an amount of space required, or some other resource. The other two criteria we'll use relate to time. One is how long it takes to determine whether a given edge is in the graph. The other is how long it takes to find the neighbors of a given vertex.

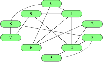
It is common to identify vertices not by name (such as "Audrey," "Boston," or "sweater") but instead by a number. That is, we typically number the V|V| vertices from 00 to V1|V|-1. Here's the social network graph with its 1010 vertices identified by numbers rather than names:

widget

Edge lists

One simple way to represent a graph is just a list, or array, of E|E| edges, which we call an edge list. To represent an edge, we just have an array of two vertex numbers, or an array of objects containing the vertex numbers of the vertices that the edges are incident on. If edges have weights, add either a third element to the array or more information to the object, giving the edge's weight. Since each edge contains just two or three numbers, the total space for an edge list is Θ(E)\Theta(E). For example, here's how we represent an edge list in a programming language for the social network graph (syntax might differ a little bit for each programming language but the concept is the same).

[
[0,1], [0,6], [0,8], [1,4], [1,6],
[1,9], [2,4], [2,6], [3,4], [3,5],
[3,8], [4,5], [4,9], [7,8], [7,9]
]

Edge lists are simple, but if we want to find whether the graph contains a particular edge, we have to search through the edge list. If the edges appear in the edge list in no particular order, that's a linear search through E|E| edges.

Question to think about: How can you organize an edge list to make searching for a particular edge take O(logE)O(\log E) time? The answer is a little tricky.

Adjacency matrices

For a graph with V|V| vertices, an adjacency ...

Ask