AI Features
Log In
0% completed
All Lessons
Free Lessons (6)
Intro to Algorithms
What is an algorithm and why should you care?
A Guessing Game
Route-finding
Binary Search
Binary Search
Implementing Binary Search of an Array
Challenge: Binary Search
Running Time of Binary Search
Quiz: Running time of binary search
Asymptotic Analysis
Introduction to Asymptotic notation
Big-θ (Big-Theta) notation
Functions in Asymptotic Notation
Big-O notation
Big-Ω (Big-Omega) notation
Quiz: Asymptotic notation
Selection Sort
Sorting
Challenge: Implement Swap
Selection Sort Pseudocode
Challenge: Find minimum in Subarray
Challenge: Implement Selection Sort
Analysis of Selection Sort
Insertion Sort
Insertion Sort
Challenge: Insert a Value Before an Index in Sorted Order
Insertion Sort pseudocode
Challenge: Implement Insertion Sort
Analysis of Insertion Sort
Recursion Algorithms
Recursion
The factorial function
Challenge: Iterative factorial
Recursive factorial
Challenge: Recursive factorial
Properties of recursive algorithms
Using recursion to determine whether a word is a palindrome
Challenge: is a string a palindrome?
Computing powers of a number
Challenge: Recursive Powers
The Sierpinski gasket
Towers of Hanoi
Towers of Hanoi
Move three disks in Towers of Hanoi
Towers of Hanoi, continued
Challenge: Solve Hanoi recursively
Merge Sort
Divide and Conquer Algorithms
Overview of Merge Sort
Challenge: Implement Merge Sort
Linear-time Merging
Challenge: Implement Merge
Analysis of Merge Sort
Quick Sort
Overview of Quicksort
Challenge: Implement Quicksort
Linear-time Partitioning
Challenge: Implement Partition
Analysis of Quicksort
Graphs
Describing graphs
Representing graphs
Challenge: Store a graph
Breadth-first Search
Breadth-first search and its uses
The breadth-first search algorithm
Challenge: Implement breadth-first search
Analysis of breadth-first search
License
Why did we port Cormen and Balkcom's Algorithms course?
License
Non-comparison based sorting algorithms
Counting Sort
Home
Courses
A Visual Introduction to Algorithms
Challenge: Store a graph
We'll cover the following...
Challenge 1: Store an adjacency matrix
Challenge 2: Store an adjacency list
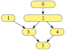
Here's the graph that we will use for the following two challenges.
...
Ask