AI Features

Bidirectional LSTM

Create and run a bidirectional LSTM model.

Chapter Goals:

  • Learn about the bidirectional LSTM and why it's used

A. Forwards and backwards

The language model from the Language Model section of this course used a regular LSTM which read each input sequence in the forwards direction. This meant that the recurrent connections went in the left-right direction, i.e. from time step ttt to time step t+1t + 1t+1.

While regular LSTMs work well for most NLP tasks, they are not always the best option. Specifically, when we have access to a completed text sequence (e.g. text classification), it may be beneficial to look at the sequence in both the forwards and backwards directions.

By looking at a sequence in both directions, the model can take into account both the past and future context of words and phrases in the text sequence, which allows it to obtain a better understanding of the text sequence.

B. Bidirectional LSTM structure

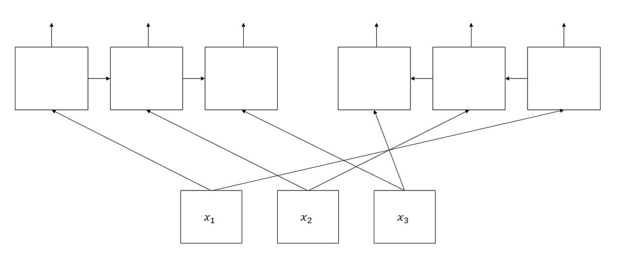
The way we look at an input sequence in both directions is with a model called a bidirectional LSTM, or BiLSTM for short. The model architecture is incredibly simple: it consists of a regular forwards LSTM and a backwards LSTM, which reads the input sequence in reverse.

widget

The above diagram shows a ...

Ask